Ouro-1.4B-Thinking

Ouro Logo

Model Description

⚠️ IMPORTANT: This model is intended for research purposes only. It is provided as-is without warranties for production use.

Ouro-1.4B-Thinking is a reasoning-specialized variant of the Ouro-1.4B base model, enhanced through supervised fine-tuning on high-quality reasoning data.

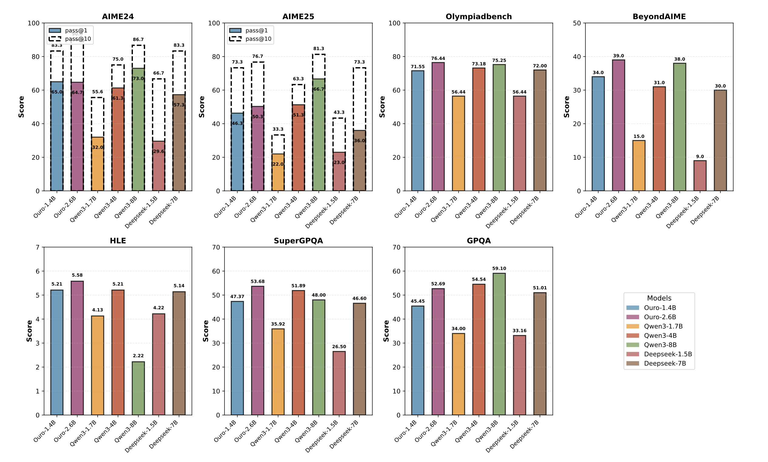
Thinking Model Performance

Key Features

  • Advanced Reasoning: Specifically optimized for mathematical and scientific reasoning tasks
  • Compact Size: Competitive with 4B models despite having only 1.4B parameters
  • Cross-Step Consistency: Intermediate recurrent outputs can serve as reliable proxies for final answers
  • Explicit Thinking Process: Trained to generate detailed reasoning steps

Configuration

Recurrent Steps and Adaptive Exit

The model's computational behavior can be configured through the config.json file:

{
  "total_ut_steps": 4,
  "early_exit_threshold": 1.0
}
  • total_ut_steps: Controls the number of recurrent steps (default: 4). You can adjust this value to trade off between performance and computation time.
  • early_exit_threshold: Controls the adaptive exit mechanism (default: 1.0). Lower values encourage earlier exit, while 1.0 means always use all steps.

Example: Modify recurrent steps

from transformers import AutoConfig, AutoModelForCausalLM

config = AutoConfig.from_pretrained("ByteDance/Ouro-1.4B-Thinking")
config.total_ut_steps = 3  # Use 3 recurrent steps instead of 4
model = AutoModelForCausalLM.from_pretrained(
    "ByteDance/Ouro-1.4B-Thinking",
    config=config,
    device_map="auto"
)

Note: vLLM does not currently support the adaptive exit feature due to its inference optimization characteristics. When using vLLM, the model will always execute the full number of total_ut_steps.

Model Architecture

Based on Ouro-1.4B with additional reasoning fine-tuning:

Configuration Value
Parameters 1.4B
Layers 24
Recurrent Steps 4
Hidden Size 2048
Attention Heads Multi-Head Attention (MHA)
FFN Activation SwiGLU
Position Embedding RoPE
Vocabulary Size 49,152
Context Length 32K (SFT)
Normalization Sandwich RMSNorm

Training Details

Pre-training

  • Training Tokens: 7.7T tokens across 4 stages
  • Base Architecture: Ouro-1.4B

Supervised Fine-Tuning

  • Data Size: ~8.3M examples
  • Data Composition:
    • Mathematics: 3.5M examples (OpenThoughts3, AceReason-1.1-SFT)
    • Code: 3.2M examples (AceReason, OpenCodeReasoning, Llama-Nemotron, OpenThoughts3)
    • Science: 808K examples (OpenThoughts3, Llama-Nemotron)
    • Chat: 767K examples (DeepWriting-20K)
  • Training: 2 epochs, max sequence length 32K
  • Optimizer: Adam (lr=2×10⁻⁵, β=(0.9, 0.95))
  • Scheduler: Cosine decay

Quick Start

⚠️ IMPORTANT: Please use transformers<4.56.0 to avoid compatibility issues. We recommend transformers==4.54.1 or earlier versions.

from transformers import AutoModelForCausalLM, AutoTokenizer

model_name = "Bytedance/Ouro-1.4B-Thinking"
tokenizer = AutoTokenizer.from_pretrained(model_name)
model = AutoModelForCausalLM.from_pretrained(
    model_name,
    device_map="auto",
    torch_dtype="auto"
)

# Generate with reasoning
messages = [
    {"role": "user", "content": "Solve: If 2x + 3 = 11, what is x?"}
]
inputs = tokenizer.apply_chat_template(
    messages,
    tokenize=True,
    add_generation_prompt=True,
    return_tensors="pt"
).to(model.device)

outputs = model.generate(inputs, max_new_tokens=512, temperature=1.0, top_p=0.7)
print(tokenizer.decode(outputs[0], skip_special_tokens=True))

Acknowledgments

We thank @Antizana for the KV cache fix merged from ouro-cache-fix, which resolved a critical compatibility issue with transformers>=4.56.0.

Citation

@article{zhu2025scaling,
  title={Scaling Latent Reasoning via Looped Language Models},
  author={Zhu, Rui-Jie and Wang, Zixuan and Hua, Kai and Zhang, Tianyu and Li, Ziniu and Que, Haoran and Wei, Boyi and Wen, Zixin and Yin, Fan and Xing, He and others},
  journal={arXiv preprint arXiv:2510.25741},
  year={2025}
}

## License

This model is licensed under Apache-2.0. See the LICENSE file for details.

## Project Links

- **Paper**: [Scaling Latent Reasoning via Looped Language Models](https://huggingface.co/papers/2510.25741)
- **Code**: [https://github.com/Ouro-LLM/Ouro](https://github.com/Ouro-LLM/Ouro)
- **Project Page**: [https://ouro-llm.github.io](https://ouro-llm.github.io)

---
Downloads last month
1,259
Inference Providers NEW
This model isn't deployed by any Inference Provider. 🙋 Ask for provider support

Model tree for ByteDance/Ouro-1.4B-Thinking

Quantizations
1 model

Collection including ByteDance/Ouro-1.4B-Thinking